Van H D, Kee B Y, Hee S Y, et al. Impact of hydrogen-assisted cracking on the mechanical properties of 316L stainless steel produced by selective laser melting using an in-situ small punch test[J]. Materials Science & Engineering A, 2025, 940: 148557.
Van Hung Dao, et al. " Impact of hydrogen-assisted cracking on the mechanical properties of 316L stainless steel produced by selective laser melting using an in-situ small punch test." Materials Science & Engineering A 940 (2025): 148557.
Van, H. D., Kee, B. Y., Hee, S. Y., Hyusang, K., Kyung-Oh, B., & Seung, H. N. (2025). Impact of hydrogen-assisted cracking on the mechanical properties of 316L stainless steel produced by selective laser melting using an in-situ small punch test. Materials Science & Engineering A, 940, 148557.
背景简介
选择性激光熔化(SLM)作为增材制造的主流技术之一,利用高功率激光逐层熔化并熔合粉末材料,可制备出力学性能优异、微观结构复杂且材料浪费少的金属零件。在SLM常用材料中,316L不锈钢(SS316L)作为一种奥氏体不锈钢,因其兼具优异的耐腐蚀性、力学强度和生物相容性,成为氢能存储、运输和基础设施等苛刻环境下的理想材料。氢能的吸附与脱附性能对氢能存储、氢气压缩、气体分离和氢流量计量等众多应用至关重要。然而,氢具有渗透多种材料的固有特性,可能导致材料物理和力学性能发生改变,引发重大安全隐患。氢脆(HE)和氢致损伤是众所周知的现象,材料暴露于氢环境中会导致力学性能退化,表现为延展性降低、脆性增加。
目前,增材制造合金(包括SLM制备的SS316L)氢脆的内在机制尚未完全明确。本研究旨在通过聚焦SLM-SS316L独特的微观结构对氢致开裂敏感性的影响,探究氢对其强度性能的作用。通过小冲杆(SP)试验和预充氢试样的微观结构变化分析,揭示调控材料抗氢脆能力的关键因素。本研究为SLM制备SS316L构件的设计与应用提供了最优工艺参数选择的关键数据,并为减轻增材制造材料在氢暴露环境中的风险提供了理论依据。
成果介绍
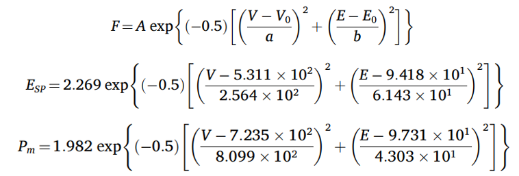
(1)SLM工艺参数对力学性能的优化窗口。采用平均球形粒径为21.16±8.34 μm的316L不锈钢粉末制备了6个尺寸为25×15×15 mm的块体,以扫描速度336~840 mm/s,激光功率125~275w,间距和层厚分别固定为120 μm和50 μm的工艺参数组合进行研究,如表1所示。研究确定了选择性激光熔化(SLM)制备316L不锈钢的最佳工艺参数范围:扫描速度480~620 mm/s,能量密度90~110 J/mm3。在此范围内,材料表现出最高的峰值载荷(Pm≥1.938 kN)和断裂位移(δf≥1.775 mm),微观结构缺陷(如未熔合孔隙)最少,如图1和图2所示。通过高斯回归模型验证了参数与力学性能的定量关系(R2>0.97),模型公式如下:
.png)
其中,A、V0、E0、a、b 是由 F(ESP;Pm)、扫描速度(V)和能量密度(E)确定的常数,且扫描速度和能量密度视为自变量。高斯回归的决定系数(R2)分别为 0.98 和 0.97,表明优化参数可显著提升材料致密性与强度。
.png)
.png)
图1 对未预充氢的试样进行SP测试后,各块体最大峰值载荷与位移值的对比
.png)
图2 展示了采用不同工艺参数(B01-B06)制备的SLM加工SS316L不锈钢试样的金相图像及EBSD逆极图(IPF)分布图,清晰呈现了高角度晶界(HAGBs)与低角度晶界(LAGBs)的特征
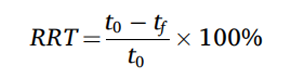
(2)预充氢引发力学性能显著退化。在50 MPa压力下暴露于纯氢环境中对小冲杆试样进行预充氢处理,试样在氢环境中暴露5天,温度为250℃。通过相对厚度减少率(RRT)评估氢致脆化程度,计算公式为:

其中t0为试样初始厚度,tf为断裂后厚度。结果显示,预充氢后试样RRT值显著降低(如 B06 块体从0.203降至0.087),最大峰值载荷和断裂位移分别降低9~23%:B02块体退化程度较轻(Pm降9%,δf降13%),而高缺陷密度的 B06 块体退化最显著(Pm从1.295 kN降至0.983 kN,降22%;δf从1.227 mm降至0.945 mm,降23%),如图3所示。断口分析表明,未充氢试样呈韧窝形貌(图4b),而预充氢试样转变为准解理断裂(图5b),且裂纹优先沿熔池边界和内部缺陷扩展。

图3 展示了SP试样在不同工艺参数下,预充氢与未预充氢时最大峰值载荷(a)和位移值(b)的对比结果

图4 B01至B06号试样未预充氢的SLM-SS316L断裂面形貌:(a)冲头接触区域周边,(b)高倍放大视图
.png)
(3)氢脆机制以氢增强局部塑性和氢增强脱粘为主导。通过中断小冲杆试验(图6,位移1.2 mm 处截取横截面)与EBSD分析(图7)发现,预充氢试样的几何必需位错密度(GNDs)和孪晶密度显著降低:未充氢试样在裂纹萌生区(距中心线500 μm)的GNDs为6.38×1014 m−2、孪晶密度18.62%,预充氢后分别降至4.51×1014 m−2和12%(图9)。氢原子在位错、孪晶界及熔池边界聚集,一方面通过氢增强局部塑性(HELP)机制促进位错滑移,另一方面削弱原子键合力(氢增强脱粘),导致裂纹沿孪晶界加速扩展(图7b)。值得注意的是,未充氢与预充氢试样中均未观察到明显应变诱导马氏体(SIM),表明SIM对氢脆贡献微弱。

图6 块体B01在1.2毫米位移值下中断SP测试的横截面积对比:(a)未预充氢试样与(b)预充氢试样

图7 (a) SP失效试样未变形状态至中心变形截面的IPF图、氢气含量分布及孪晶密度分布; (b) SP试样氢预充后,从未变形区域到中心变形截面的IPF图、氢气分布及孪晶密度分布

其中P(a)为给定位移δf下的施加载荷。结果显示,高缺陷密度的 B05、B06 块体未充氢时ESP分别为 1.878 kJ、0.791 kJ,氢预充氢后进一步降低,B06 块体ESP降幅达 34%(图9b)。此类试样在氢环境中表现出更早的裂纹萌生(图6b),证实 SLM 微观结构缺陷密度与氢脆敏感性呈正相关。

图9 氢预充前后试样(a)RRT和(b)SP破坏能量对比,裂纹始于底部
(5)工艺参数优化可同步提升抗氢脆能力。基于高斯回归模型确定最优 SLM 参数:扫描速度 531.1 mm/s,能量密度 94.18 J/mm3(图10b),此参数下未充氢试样获得最优力学性能(预测Pm = 2.044 kN),且氢致性能退化显著缓解:优化后的 B02、B04 块体氢预充氢后Pm降幅(9~12%)远低于高缺陷的B06 块体(22%)。这一结果表明,通过优化 SLM 参数控制微观结构完整性(减少图4b 中的缺陷),可间接增强材料在氢环境中的服役可靠性,实现力学性能与抗氢脆能力的同步提升。

图10 通过SLM工艺制备的各块体强度优化工艺参数:(a)SP能量与(b)最大峰值载荷,对应未预充氢试样的测试结果
致谢
本研究由韩国标准科学研究院(KRISS–2025–GP2025-0014)资助的“氢燃料补给站可靠性测量技术开发”项目支持。本文第一作者:Van Hung Dao(Korea Research Institute of Standards and Science),本文通讯作者:Seung Hoon Nahm(Korea Research Institute of Standards and Science)。
本期小编 郭子键(整理)
周子尧(校对)
舒 阳(审核)
董乃健(发布)
|