Proehl E R, Zhong W, Sprouster D J, et al. Effect of stress on Laves phase precipitation in creep ruptured Grade 92 ferritic martensitic steel characterized by a novel accessible method[J]. Acta Materialia, 2025: 121559.
Proehl, Emily R., et al. "Effect of stress on Laves phase precipitation in creep ruptured Grade 92 ferritic martensitic steel characterized by a novel accessible method." Acta Materialia (2025): 121559.
Proehl, E. R., Zhong, W., Sprouster, D. J., Lear, C. R., Schneider, M. M., Parish, C. M., Eftink, B. P., Snead, L. L., Zinkle, S. J., & Tan, L. (2025). Effect of stress on Laves phase precipitation in creep ruptured Grade 92 ferritic martensitic steel characterized by a novel accessible method. Acta Materialia, 121559.
背景简介
铁素体-马氏体(FM)Grade 92钢(G92)凭借其优异的高温强度、抗蠕变性能和抗腐蚀性能,被广泛用作超超临界火电锅炉、核电站反应堆结构件等化石能和核能装置的核心结构材料。该类钢通过特定的成分设计和热处理,形成了一种从原奥氏体晶粒到块状、板条束直至板条亚晶界的层级化晶粒与亚晶界结构。其中,Mo和W作为关键固溶强化元素,在400-700℃服役温度区间内会析出Laves相(Fe2X; X= Mo, W),该相的演化过程(析出与粗化)直接影响了钢的微观结构稳定性。但部分研究(如Vanaja对9Cr低活化FM钢的研究)指出,当钢中W含量较高(1–2wt.%)时,Laves相的体积分数增加,可通过抑制M23C6的粗化提升微观结构稳定性,从而延缓蠕变加速阶段;另一部分研究则认为大尺寸Laves相是蠕变损伤的主要诱因——除诱发孔洞外,Laves相粗化还会导致基体中Mo和W的固溶量降低,削弱固溶强化效果,双重作用下会缩短蠕变断裂寿命,且断裂时的延伸率会显著下降。
本探究基于扫描电子显微镜背散射电子(SEM-BSE)信号及其信息深度(ID),开发了一种能准确、高效量化FM钢中Laves相体积分数和数密度的方法,揭示了G92钢中Laves相与蠕变性能的关联,以及应力对其析出行为的影响。
成果介绍
(1)由于Laves相尺寸较大(约0.25μm)和数密度较小(约1011cm-3),常规技术如透射电子显微镜(TEM)等难以准确量化其体积分数和数密度,故本研究以SEM-BSE信号为基础,利用Laves相与Fe基体的高对比度(约14–38%),引入ID计算公式(出射深度除以靶材密度):
.png)
基于SEM-BSE图像确定的析出相尺寸分布(图 1)划分为两个区间:直径小于ID的小尺寸析出相和直径大于ID的大尺寸析出相。其中k代表直径小于ID的析出相所占的面积分数,ds、dl分布代表直径小于ID的小尺寸析出相的平均直径和大于ID的大尺寸析出相的平均直径。假设析出相大致呈立方体形貌且Laves相的形成无择优方向,通过对SEM-BSE图像施加二值化阈值,提取Laves析出相的面积分数a并量化图像中析出相的总数(N)。析出相深度则通过分别计算小尺寸析出相和大尺寸析出相的深度来近似获得。进而推导得体积分数和数密度计算模型,实现了对Laves相的精准量化。
.png)
.png)
图1 由扫描电子显微镜背散射电子(SEM-BSE)图像确定的理论析出相尺寸分布
为验证该方法计算结果的可靠性,本研究利用了两种技术进行验证(结果见图 2):一是同步辐射高能X射线衍射(HXRD)对3组蠕变断裂样品(1、3、7号)进行测试,SEM法与HXRD测得的Laves相体积分数在误差范围内完全一致;二是SEM-BSE连续切片断层扫描,对1号样品受力段区的3D重构结果表明,Laves相体积分数(1.25%)、数密度(2.11×1011cm-3)与SEM法结果(体积分数1.19±0.08%、数密度1.77×1011cm-3)高度吻合,证实了新方法的准确性与可靠性。
.png)
图2 采用三维量化方法(HXRD与连续切片断层扫描)测得的Laves相体积百分比,与基于扫描电子显微镜(SEM)的体积分数量化方法测得的Laves相体积百分比对比图
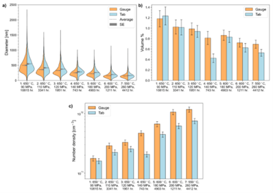
(2)通过对550–650℃、90–260MPa条件下7组opt. G92钢蠕变样品的分析,发现温度对Laves相尺寸、体积分数和数密度具有决定性影响作用(结果见图3、4):650℃蠕变的样品(1-4号)Laves相平均费雷特直径(Feret diameter)为0.325-0.5μm,显著大于550–600℃样品(5-7号)的0.15-0.22μm;即使650℃下低应力(90MPa,1号样品)的Laves相尺寸,也远大于550℃高应力下的Laves相尺寸(260MPa,7号样品),表明高温加速Laves相粗化。同时650℃样品Laves相体积分数为0.94-1.24%,550℃样品仅为0.53-0.69%,且相同温度下低应力(长蠕变寿命)样品的体积分数更高(如650℃下1号样品(90MPa,寿命10815h)体积分数高于4号样品(140MPa,寿命743h)),表明温度对Laves相析出动力学的主导作用。数密度方面低温(550–600℃)样品Laves相数密度约为1012cm-3,高温(650℃)样品约为1011cm-3,符合高温促进小析出相溶解、大析出相长大的熟化规律。
.png)
图3 以1号样品gauge段在20kV加速电压下拍摄的扫描电子显微镜背散射电子(SEM-BSE)图像为例,展示将SEM-BSE图像转化为Laves相体积分数与析出相数密度的过程。阈值分割图像中不同颜色代表不同的待分析析出相

图4 各蠕变断裂的优化型G92钢样品应力区(gauge region)与无应力区(tab region)Laves相析出体的:(a) 费雷特直径分布;(b) 体积分数;(c) 数密度
(3)研究发现,在550-650℃范围内,应力对Laves相演化的影响存在明确阈值(110MPa),且仅作用于形核过程:所有样品中,应力对Laves相尺寸和体积分数无统计意义上的改变,仅4号(650℃、140MPa)和7号(550℃、260MPa)样品gauge区体积分数略高于tab区(分别高113%、31%),但仍在误差传播范围内,与部分文献“温度主导Laves相演化”的结论一致。当应力超过110MPa时,gauge区的Laves相数密度比tab区高29-180%(2-7号样品);而应力为90MPa(1号样品)时,gauge区与tab区数密度差异仅11%。这表明应力超过阈值会提高Laves相形核率,推测机制为:应力诱导位错聚集、M23C6碳化物粗化,增加异质形核位点。而温度为550-600℃下,所有测试应力(180-260MPa)均表现出应力促进形核的效果,未观察到明确阈值,推测低温下形核能垒更低,应力的促进作用更易显现。
(4)对7组样品的蠕变曲线(应变-时间、蠕变速率-应变)分析发现,Laves相的尺寸、体积分数、数密度与蠕变寿命、延伸率、最小蠕变速率、加速阶段蠕变斜率(dln(ε·)/dε)均无明确相关性。原因在于G92钢作为工程合金,其蠕变性能由“多微观强化机制耦合”决定——除Laves相外,纳米级MX析出相、M23C6碳化物、高位错密度、晶粒/亚晶粒边界等均参与强化,且这些因素相互关联,难以单独剥离Laves相的作用,因此判定Laves相对G92钢蠕变性能的影响为次要且不明确。

图5 Laves相的(a) 尺寸、(b) 体积分数及(c) 数密度与蠕变测试过程中施加应力的关系

图6 opt. G92钢试样的(a) 蠕变应变与时间的关系及(b) 蠕变速率与应变的关系
(5)研究指出该方法不仅适用于G92钢,还可推广至9–12wt.%Cr系列FM钢,前提是目标析出相与基体具有>10%的BSE对比度;同时该方法可用于分析其他各向同性分布、中尺度(10–750nm)、低数密度(<1016cm-3)的高对比度微观特征(如孔洞、其他金属间化合物),解决了传统TEM/APT取样体积小、同步辐射XRD普及性差的问题,为高温结构钢中析出相的常规量化提供了可行方案。
致谢
本研究部分由以下机构和项目资助:美国能源部科学办公室聚变能科学项目(WZ、LT;SJZ: DOE DE-SC0023293)、美国能源部核能办公室、2017 财年“综合创新核研究核科学用户设施项目”及“轻水堆可持续性项目”(WZ、LT,合同号DE-AC05-00OR22725)。此外,部分实验与数据分析工作得到美国能源部聚变能科学办公室(DJS、LLS,合同号DESC0018322,与纽约州立大学石溪分校研究基金会合作)。本研究使用了美国国家同步辐射光源 II 期(National Synchrotron Light Source II)的Pair Distribution Function束线( DJS、LLS,由布鲁克海文国家实验室运营,合同号DE-SC0012704)。本文第一作者和通讯作者:Emily R. Proehl(University of Tennessee)。
本期小编 周子尧(整理)
罗凌颖(校对)
刘昊东(审核)
董乃健(发布)
|