Junior L A G, Jiménez S, Cornejo A, et al. Numerical assessment of the high cycle fatigue behavior of high strength steels affected by shear-cutting operations[J]. International Journal of Fatigue, 2025: 109178.
Junior, LA Gonçalves, et al. "Numerical assessment of the high cycle fatigue behavior of high strength steels affected by shear-cutting operations." International Journal of Fatigue (2025): 109178.
Junior, L. G., Jiménez, S., Cornejo, A., Gustafsson, D., Olsson, E., & Barbu, L. G. (2025). Numerical assessment of the high cycle fatigue behavior of high strength steels affected by shear-cutting operations. International Journal of Fatigue, 109178.
背景简介
为提升市场竞争力和降低环境影响,当代汽车行业正大力推进轻量化战略。车身与底盘作为车辆的主要重量来源(分别占比约40%和25%),因而成为轻量化发展的重点领域。先进高强度钢(Advanced high strength steels, AHSS)因其兼具优异的服役性能、可制造性与成本优势,成为该领域的核心材料。但此类材料通常在其强度高于800 MPa时缺口敏感性显著提升,致使裂纹抗性与成形性受限。剪切切割(裁剪、冲压)作为汽车薄板构件制造中的首选材料去除工艺,兼具高生产率与成本效益,但该工艺会显著改变剪切影响区(Shear-affected zone, SAZ)的表面粗糙度和残余应力,这些影响导致该部位在循环载荷下易成为裂纹萌生与扩展的优先位点,从而严重损害AHSS的疲劳性能。
高周疲劳(High cycle fatigue, HCF)性能数据对底盘等需承受105以上循环载荷的构件设计至关重要,但传统疲劳测试耗时昂贵,难以覆盖不同切割策略、间隙等工艺参数组合,导致相关数据缺口显著。现有数值模拟方法尚未充分整合剪切切割工艺的残余应力与表面粗糙度影响,难以精准预测构件疲劳寿命。因此,开发能纳入工艺影响因素、基于少量基础材料数据的HCF数值模型,成为支撑AHSS轻量化应用、填补实验数据空白的关键需求。
成果介绍
(1)论文以各向同性损伤高周疲劳(HCF)本构模型为核心,源于Oller等人的连续介质损伤力学(CDM)框架,并针对剪切切割工艺影响下的先进高强度钢疲劳行为进行优化。本构方程主要分为5个部分:
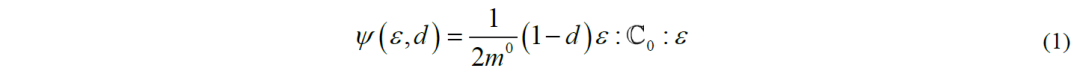
a) 自由能与应力-应变关系。自由能定义为应变张量(ε)与损伤内变量(d,0 = 完整状态,1 = 完全损伤)的函数:
.png)
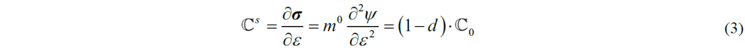
其中,m0表示材料密度,C0表示未损伤状态下的本构张量。应力由自由能对应变(ε)求偏导得到,体现为损伤对刚度的衰减效应:
.png)
采用割线本构张量来描述无损伤演化时的应力-应变关系:
.png)
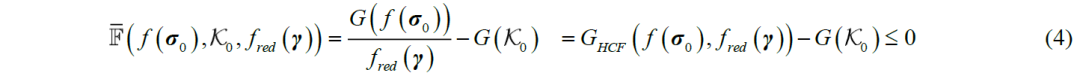
b) 损伤演化方程。为了判断材料是否进入损伤状态,阈值损伤函数采用:
.png)
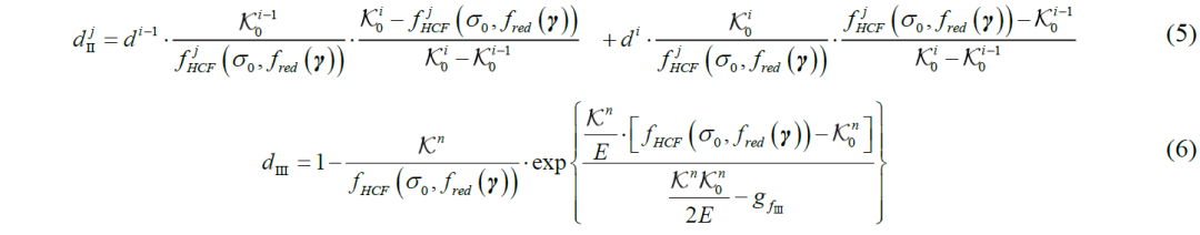
其中f(σ0)=(3J2)1/2,κ0为有效损伤阈值,引入了疲劳状态函数fred(γ)。通过以下方程分区域描述了损伤的演化率,区域Ⅱ为式5、区域Ⅲ为式6:
.png)
.png)
图1 单轴应力-应变损伤曲线
区域Ⅱ(图1)通过参考点线性插值计算损伤,区域Ⅲ(图1)考虑断裂能衰减,描述宏观裂纹扩展阶段,其中gfⅢ为区域III的体积断裂能。
c) 残余应力松弛模型。固体中的残余应力是一种自平衡应力,通常是由多种制造工艺(例如机械加工、成形、剪切和激光切割等)以及材料加工技术(例如淬火、铸造等)引起的非均匀塑性流动或相变所导致,因此针对剪切切割引入的残余应力在循环载荷下的松弛行为,采用了松弛因子的经验模型:
.png)
其中,A=-0.0528、B=0.487(通过HT780钢实验校准),然后采用松弛因子来各向同性地降低初始残余应力,这样使得松弛后的残余应力为:
.png)
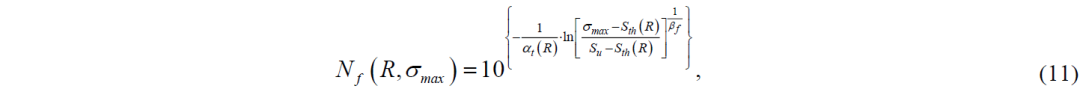
d) 疲劳状态函数与工艺影响修正。疲劳状态函数fred(γ)为指数形式,与修正后S-N-R曲面相交,对应于归一化最大应力(如图2所示),反映循环载荷下材料强度衰减:
.png)
.png)
图2 归一化Wöhler曲线和fred作为循环次数Nf的函数
其中式(10)中的循环次数Nf可以通过在式(9)中引入σmax来确定,经过修正以考虑切削操作的影响。因此,式(10)可写为:
.png)
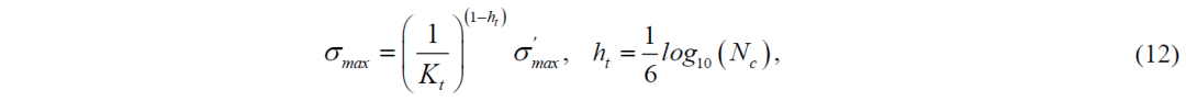
e) 缺口效应修正。考虑剪切切割边缘缺口在循环载荷下的应力重分布,修正实际最大应力:
.png)
其中,Kt为弹性应力集中因子,ht随循环次数从0(低周,塑性主导)增至1(高周,损伤主导),避免低周区域应力高估。
(2)针对剪切加工(修整、冲压)的核心特征,本研究构建疲劳模型时将加工诱导的残余应力与切削表面粗糙度作为关键影响因素纳入框架,以精准量化其对试样疲劳寿命的作用机制。同时,为匹配实际加工效应,还针对性更新了基体材料的力学性能参数,重点考虑了剪切加工引发的加工硬化现象,以及该过程中耗散的体积断裂能,确保模型对材料力学状态的描述更贴合真实工况。为计算松弛因子(公式7)与残余应力修正因子,研究将残余应力分布以单元级常数值形式嵌入疲劳模型。具体而言,先在径向方向上针对各应力分量的单元质心完成分布评估,再通过设置具有径向增长率的单元离散化方案,充分捕捉切削表面附近的高应力梯度,且该区域单元厚度控制在几微米量级,与修整、冲压工艺模拟模型的尺度保持一致;此外,模型沿切削方向进一步划分为六行单元,以适配残余应力的空间分布特征,保障应力场计算的准确性(图3)。
.png)
图3 疲劳有限元模型中采用的离散化方案:(a) 修整试件和 (b) 冲压试件
(3)通过数值模拟了Gustafsson等人的剪切、冲压试样的单轴疲劳试验,验证了所提本构模型的预测能力(图4和图5),这些结果与相应的残余应力值吻合良好。图4和图5显示,仅考虑残余应力的基准模拟与叠加了表面粗糙度的模拟在疲劳寿命估算结果上差异极小,这表明残余应力是影响本研究中两种材料疲劳寿命的主要因素。这一预测与Peatzold等人的实验研究结果一致,该研究表明,剪切面断裂区的表面粗糙度与双相钢DP800的疲劳强度降低之间没有相关性。然而,即使表面粗糙度对疲劳寿命影响微弱,忽略表面粗糙度效应仍会影响裂纹萌生位置,如图6所示。
.png)
图4 HR CP800SF的疲劳寿命预测
.png)
图5 HR CP980SF的疲劳寿命预测
.png)
图6 HR CP800SF冲压案例中,考虑以下因素时的损伤状态:(a) 仅考虑残余应力;(b) 考虑残余应力和表面粗糙度
(4)图7以HR CP980SF钢的冲压案例(17%冲裁间隙、σa=109 MPa、R=0.1)为参考,完整揭示了试样从完整状态到完全失效过程中,残余应力松弛因子、疲劳状态函数与损伤的演化规律。初始残余应力松弛阶段时外载产生的应力产生残余应力松弛,该阶段呈“类单调”的特征,主要集中在第一个循环,且松弛区域局限于切边附近(残余应力较高区域),如图7 (a)所示。在损伤起始后的过渡阶段,采用循环跳跃方法,其幅值控制在试样总寿命估算值的10%以内,确保该阶段损伤演化计算的效率与精度。过渡阶段后,疲劳状态函数进入快速演化期(图7 (f、g)),仅需少数循环(本案例为40个循环)便驱动损伤贯穿试样横截面,如图7 (k)和图7 (l)所示。此最终阶段伴随因裂纹扩展引发的残余应力快速松弛(图7 (d)),在初始与最终模拟阶段之间,松弛因子无显著演化。
.png)
图7 HRCP980SF冲压案例在冲裁间隙为17%时,在标称σa=109 MPa、R=0.1的 (a)-(d) 残余应力松弛因子;(e)-(h) 疲劳状态函数和 (i)-(l) 损伤的演变
致谢
本研究是在Fatigue4Light (H2020-LC-GV-06-2020) 项目框架下完成的。此外,该项目还得到了欧盟“Horizon Europe research”研究与创新计划资助的FatSAM项目的支持,项目编号为101159809。本文第一作者:L.A. Gonçalves Junior(Universitat Politècnica de Catalunya - BarcelonaTech),本文通讯作者: L.A. Gonçalves Junior和L.G. Barbu(Universitat Politècnica de Catalunya - BarcelonaTech)。
本期小编 王永杰(整理)
罗凌颖(校对)
刘昊东(审核)
董乃健(发布)
|