|
Llera M M, Álvarez G, Otero S, et al. Region-resolved study of hydrogen embrittlement mitigation in CrMoV welds through post-weld heat treatment[J]. International Journal of Hydrogen Energy, 2026, 209: 153608.
Llera, Álvarez, et al. "Region-resolved study of hydrogen embrittlement mitigation in CrMoV welds through post-weld heat treatment." International Journal of Hydrogen Energy 209 (2026): 153608. (): .
Llera, M. M., Mondal, G., Otero, S., Zafra, A., & Rodríguez, C. (2025). Region-resolved study of hydrogen embrittlement mitigation in CrMoV welds through post-weld heat treatment. International Journal of Hydrogen Energy, 209, 153608., .
背景简介
氢能基础设施的安全部署受限于结构材料在富氢环境中的氢脆问题,而焊接接头是其中最薄弱的环节。焊接过程产生的异质微观结构(尤其是粗晶热影响区)和残余应力,会显著增加材料的氢脆敏感性。为确保安全,常采用焊后热处理来均质化组织、消除应力。然而,传统评估方法面临根本性挑战:一方面,焊接接头不同区域(母材、热影响区、焊缝金属)的宽度狭窄、性能迥异,难以独立、精确地提取标准力学试样。另一方面,氢致损伤是氢传输(扩散、捕获)与力学响应耦合的复杂过程,传统方法难以在同一微小区域上直接建立二者的关联。本研究创新性地将电化学氢渗透测试与原位电化学氢小冲杆测试结合于同一微小试样,实现了对焊接接头不同微区氢扩散/捕获行为和力学性能的独立、直接关联评估,从而清晰揭示了焊后热处理(705°C/10h)提升2.25Cr1Mo0.25V钢焊缝抗氢脆能力的作用机制。
成果介绍
(1)研究建立了集成氢渗透与原位力学测试的创新方法,并验证了该方法的可行性。首先从焊接接头的特定区域(母材-BM、粗晶热影响区-CGHAZ、焊缝金属-WM)提取薄片试样进行电化学氢渗透测试,获取该区域的有效扩散系数(Deff)、晶格扩散系数(DL)、表观氢浓度(C0app)和陷阱密度(Nt)等关键参数。随后对同一试样进行加工,并用于原位电化学氢小冲杆测试,从而在充氢条件下直接获得其载荷-位移曲线及断裂能等力学参数。这种方法以最少的材料需求,实现了对狭窄焊接区域的独立评估,并直接建立了氢传输特性与力学性能之间的定量关联,为理解氢脆机理提供了独特框架。图1为小冲杆试验方法示意图。 图1 (a) 试验装置;(b) 标准载荷-位移曲线及特征点
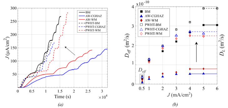
(2)该研究定量揭示了焊后热处理通过降低氢陷阱密度,显著缓解了最脆弱区域的氢脆效应。氢渗透结果表明(图2),在焊态(AW)条件下,CGHAZ和WM的氢陷阱密度(Nt)比BM高出一个数量级(例如AW-CGHAZ: 1.57×1027 sites/m3 vs. BM: 9.90×1025 sites/m3),表明其微观结构(高位错密度、细碳化物)捕获了更多氢。相应地,小冲杆测试显示(图3),AW-CGHAZ和AW-WM的氢脆指数(基于断裂能HEI Wm)最高,分别达73%和75%,断裂模式为完全脆性解理(图4)。经过焊后热处理(PWHT)后,所有区域的陷阱密度大幅降低并趋于一致(如PWHT-CGHAZ的Nt未列出具体值但已大幅下降,PWHT-WM: 1.44×1026 sites/m3),同时氢脆指数显著下降并接近BM水平(PWHT-CGHAZ: 64%, PWHT-WM: 67%),断口呈现脆性与局部延性混合模式(图5)。这证明PWHT通过微观结构均质化和晶格弛豫(XRD半高宽FWHM减小为证),有效降低了有害氢陷阱的密度,是提升抗氢脆能力的关键。
.png)
图2 氢渗透测试结果:(a) 累积瞬态曲线与外加电流密度的关系;(b) 有效扩散系数随阴极电流密度的变化;水平线代表稳态晶格扩散系数(DL)
.png)
图3 充氢条件下焊态(AW)接头的小冲杆试验载荷 - 位移曲线及断口形貌。氢气降低了所有区域的承载能力与塑性;大量径向裂纹证实发生了氢脆
.png)
图4 焊态(AW)接头在氢气环境下的小冲杆试验断裂微观机制:(a) 母材 - 氢气;(b) 焊态粗晶热影响区 - 氢气;(c) 焊态焊缝金属 - 氢气。解理面取代了空气中观察到的微孔,表明断裂向脆性转变
.png)
图5 充氢条件下经焊后热处理(PWHT)的断裂微观机制:(a) 热处理态母材 - 氢气;(b) 热处理态粗晶热影响区 - 氢气;(c) 热处理态焊缝金属 - 氢气
(3)明确了小冲杆测试中氢对断裂性能与强度性能的不同影响,并建立了可靠的脆化评估指数。小冲杆测试数据分析表明(表1),氢暴露对与强度相关的参数(如归一化屈服载荷Py/t2)影响甚微,其氢脆指数HEI接近0%。然而,氢对与断裂相关的参数(如归一化断裂能Wm/t2、等效双轴应变εqf)影响极为显著,其氢脆指数HEI普遍高于60%。这证实氢脆主要损害材料的断裂韧性和塑性,而非其屈服强度。研究成功定义并应用了基于断裂能(HEI Wm)和等效应变(HEI εqf)的氢脆指数,两者结果高度一致(图6),为定量评估和比较不同微区的局部氢脆敏感性提供了可靠指标。。
.png)
图6 氢脆指数(HEI)与氢相关参数的相关性:(a) HEI 与表观氢浓度(C0app);(b) HEI 与氢陷阱密度(Nt);(c) HEI 与屈服强度相关参数(SFT)
表1 不同小冲杆试验(SPT)参数及焊缝区域的氢脆指数(HEI,%)
.png)
(4)明证实了焊后热处理可使整个焊接接头的力学和氢响应趋于均匀化,满足氢服役标准要求。研究通过关联分析发现(图6和图7),焊后热处理后,不仅各区域的力学性能(硬度、强度)差异减小,其氢相关参数(陷阱密度Nt、表观浓度C0app)和氢脆指数(HEI)也显著收敛,整体响应更接近强韧的母材。这种均质化效果使得经过优化PWHT的CrMoV钢焊接接头能够满足ISO 11114-4和ASME等氢服役标准对材料相容性的要求,为其在高压氢储存和运输系统中的应用提供了关键实验依据。
.png)
图7 (a) 氢陷阱密度Nt与半高宽FWHM的相关性;(b) 表观氢浓度C0app与半高宽 FWHM的相关性;(c) 晶格扩散系数DL与半高宽FWHM的相关性。
致谢
感谢经济与竞争力部为本研究提供项目资金(项目编号:PID2021-124768OB-C22),同时感谢阿斯图里亚斯公国提供科研项目资助(项目编号:SEK-25-GRU-GIC-24-016)。亦感谢奥维耶多大学科技服务中心提供 JEOL-JSM5600 扫描电子显微镜的使用支持。本文第一作者和通讯作者为:M.M. Llera(University of Oviedo)。
本期小编:郭子键(整理)
董乃健 (校对)
程航 (审核)
董乃健 (发布)
|