|
Castro L, Navidtehrani Y, Betegón C, et al. Coupled thermo-chemo-mechanical phase field-based modelling of hydrogen-assisted cracking in girth welds[J]. International Journal of Mechanical Sciences, 2026: 111172.
Castro, Lucas, et al. "Coupled thermo-chemo-mechanical phase field-based modelling of hydrogen-assisted cracking in girth welds." International Journal of Mechanical Sciences (2026): 111172. (): .
Castro, L., Navidtehrani, Y., Betegón, C., & Martínez-Pañeda, E. (2026). Coupled thermo-chemo-mechanical phase field-based modelling of hydrogen-assisted cracking in girth welds. International Journal of Mechanical Sciences, 111172., .
背景简介
随着氢能作为清洁能源的快速发展,氢气在储存与输运过程中的结构安全问题日益受到关注,其中氢致脆化会显著降低金属材料的延性、断裂韧性及抗疲劳性能,成为制约氢能基础设施可靠性的关键因素。焊接接头作为管道结构中的薄弱环节,在多道焊热循环作用下形成复杂的组织非均匀性(如母材(Base Metal , BM)、焊缝金属(Weld Metal , WM)及热影响区(Heat-Affected Zone , HAZ))以及高水平残余应力场,使其对氢致开裂更加敏感。同时,焊接过程中不可避免的缺陷(如气孔、未熔合等)进一步加剧了局部应力集中与氢富集效应,显著提高失效风险。然而,由于氢扩散、应力演化与裂纹扩展之间存在显著的多物理场耦合特征,传统试验方法难以对其进行系统表征与机理解析。因此,发展能够统一描述热-化学-力学耦合行为的高精度数值模拟方法,对于揭示氢致开裂机理并实现结构完整性预测具有重要意义。
成果介绍
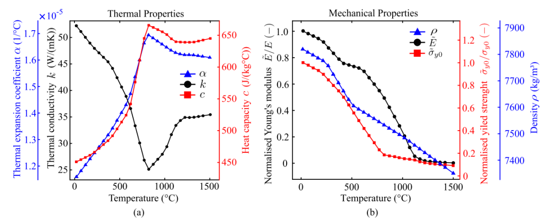
(1)建立焊接热-力过程与结构完整性分析的统一框架。本文首先建立了环焊缝多道焊热-力耦合模型,通过热传导方程(式(1))与应变分解关系(式(2))描述温度场与应力场演化。焊缝几何及分区如图1所示,材料温度依赖性见图2,残余应力分布结果如图3所示。结果表明,焊根区域形成显著拉应力集中,是后续氢富集与裂纹萌生的关键位置。
.png)
.png)
图1 X80 级输氢管道环焊缝 2D 轴对称仿真模型
.png)
图2 典型材料参数随温度的变化曲线:(a) 热学性能指标:热膨胀系数、热导率及比热容;(b) 力学性能指标:杨氏模量、初始屈服强度及密度
.png)
图3 焊接仿真过程及结果场图:(a) 焊接动态演化;(b) 热影响区测点温度曲线;(c) 残余应力与应变分布
(2)建立多陷阱氢扩散模型并考虑塑性诱导陷阱演化。在氢扩散方面,本文基于晶格-陷阱双层模型,采用扩散控制方程(式(3))及Oriani平衡关系(式(4))描述氢在不同陷阱中的分配,并通过位错密度演化关系刻画塑性变形对陷阱密度的影响。相关参数见表1,该模型能够反映焊缝不同区域的氢传输与富集行为。
.png)
表1 焊接接头氢陷阱参数
.png)
(3)构建氢依赖相场断裂模型并实现三场耦合。基于相场方法建立弹塑性断裂模型,总自由能形式如式(5)所示,退化函数见式(6)–式(7)。通过引入氢浓度相关断裂韧性退化关系(式(8)),实现氢对材料抗裂能力的影响描述,其标定结果如图4所示。同时,力学场、扩散场与断裂场通过式(9)–式(10)和式(3)实现统一耦合。
.png)
.png)
图4 氢致退化模型与试验数据的对比验证
(4)模型验证结果如图5所示,裂纹扩展抗性(J-R)曲线与试验结果吻合良好;在此基础上,结构完整性分析模型及其边界条件如图6和式(11)–式(12)所示。典型结果如图7所示,裂纹从焊根萌生并沿热影响区(HAZ)扩展,氢环境使结构在25 MPa即发生断裂,低于屈服压力。进一步分析表明,未焊透、气孔等焊接缺陷会显著降低结构承载能力,并改变裂纹扩展路径。
.png)
图5 X80 钢焊接接头三区 J-R 曲线:数值模拟与试验验证对比
.png)
图6 输氢管道环焊缝边界条件与几何模型示意图

图7 初始无缺陷管道在三种氢气压力下的关键属性云图对比:(a) 5MPa压力水平; (b) 15MPa压力水平; (c) 25MPa压力水平
致谢
作者感谢阿斯图里亚斯区政府(项目号:SV-PA-21-AYUD/2021/50985)、西班牙科学、创新与大学部(项目号:MCINN-23CPP2021-008986)以及西班牙经济与竞争力部(项目号:PID2021-124768OB-C22)的资金支持。此外,L. Castro 感谢 IUTA 的资助(项目号:SV-21GIJÓN-1-18);E. Martínez-Pañeda 感谢英国研究与创新署(UKRI)“未来领袖学者”计划(项目号:MR/V024124/1)、韩国国家研究基金会(NRF)MSIT 项目(项目号:RS-2024-00397400)以及 UKRI 欧盟地平线保证计划(ERC 启动基金 ResistHfracture,项目号:EP/Y037219/1)的资助。本文第一作者:Lucas Castro(University of Oviedo),本文通讯作者:Emilio Martínez-Pañeda(University of Oxford)。
本期小编 高 欣(整理)
罗凌颖 (校对)
刘昊东 (审核)
董乃健 (发布)
|