|
Krasnikov V S, Voronin D S, Mayer A E. Competing mechanisms and pathways of dislocation-precipitate interaction in Al-Cu alloys under dynamic deformation[J]. International Journal of Plasticity, 2026, 200: 104652.
Krasnikov, Vasiliy S., et al. "Competing mechanisms and pathways of dislocation-precipitate interaction in Al-Cu alloys under dynamic deformation." International Journal of Plasticity 200 (2026): 104652.
Krasnikov, V. S., Voronin, D. S., & Mayer, A. E. (2026). Competing mechanisms and pathways of dislocation-precipitate interaction in Al-Cu alloys under dynamic deformation. International Journal of Plasticity, 200, 104652.
背景简介
铝合金在激光喷丸、抗冲击防护等工程应用以及塑性物理基础研究中,高应变率变形行为具有重要意义。析出强化是铝合金的核心强化手段,纳米尺度析出相通过阻碍位错运动显著提升合金屈服强度。描述位错-析出相交互作用的经典理论包括三种机制(Orowan绕过环形成、析出相切割和位错滑出初始滑移面),然而这些机制在动态高应变率条件下的完整适用性仍有待深入研究。
在Al-Cu合金中,强化析出相是中后期时效阶段的主要强化相。已有原子尺度研究揭示了超出经典模型的更复杂行为,包括不完全剪切、析出相弯曲及在高应力下的溶解等机制。位错攀移作为一种非保守运动,传统上被认为仅在高温低应变率(蠕变)条件下发生,因为其依赖于空位的长程扩散。然而,析出相/基体界面能否作为局域点缺陷源/汇,使攀移在高应变率下无需长程扩散即可发生,尚无明确的原子尺度证据。
本研究采用分子动力学模拟、微机械模型、二维离散位错动力学和人工神经网络构成的多尺度框架,研究了Al-Cu合金在动态变形条件下位错-析出相交互的竞争机制。研究揭示了两种有效的应力辅助绕过途径:析出相前表面的位错攀移和析出相侧表面螺型位错段的交叉滑移,两者均无需长程扩散即可在高应变率下运作,对于准确预测沉淀强化铝合金流动应力具有不可忽视的重要性。
成果介绍
(1)分子动力学模拟体系设计与两种绕过机制的直接观测。研究选取θ''相析出物为研究对象,设计了具有特定几何形貌的模型析出相(图1)。较大的析出相的宽度D会抑制Orowan环的形成,较大的析出相的长度L则会阻止析出相被剪切,从而迫使位错必须通过离开初始滑移面来绕过障碍。研究发现,位错绕过机制与其初始滑移面相对于析出相中心截面的位置密切相关:当初始滑移面位于析出相中心截面之上时,以析出相侧表面螺型段的交叉滑移为主导,位错从上方绕过;当初始滑移面位于中心截面之下时,以析出相前表面的非保守位错攀移为主导,位错从下方绕过。最大应力与激活时间均在零点处呈现线性关系斜率的转折,印证了机制转换的存在,两种机制中攀移的临界应力和激活时间均高于交叉滑移。
.png)
图1 (a)含两条分位错(绿线)和六层θ''析出相(铜原子为橙色点)的初始体系;(b)θ''相晶体结构;(c,d)析出相几何参数D、L和H的示意图
(2)当初始滑移面位于y = 4.7 Å(析出相中心以上)时,位错通过交叉滑移从上方绕过析出相(图2)。位错与析出相接触后被钉扎,自由段沿侧面弓出后逐渐转变为螺型特征,两分位错汇聚并合并为全位错,随后再次分解为位于(111)面的螺型Shockley分位错,实现双交叉滑移。左侧段向上运动,右侧段向下运动,最终在析出相上方汇合完成绕过。析出相局域应力场为侧面螺型段的交叉滑移提供了驱动力。
.png)
图2 交叉滑移绕过析出相过程中不同时刻的位错-析出相相对构型
(3)当初始滑移面位于析出相中心以下时,位错通过前表面攀移从下方绕过析出相(图3)。位错与析出相接触后,前表面的分位错发生一系列复杂反应,形成Frank位错段,这是涉及体积重分布的非保守运动的直接原子尺度证据,说明攀移过程中有空位的局域产生或湮没。析出相/基体界面作为点缺陷的高效局域源,使攀移无需长程扩散即可在高应变率下发生。
.png)
图3 攀移绕过过程中不同时刻的位错反应
(4)温度对临界应力高度敏感(图4):在100~700 K范围内,越过障碍的临界应力从约380 MPa降至约200 MPa,温度软化系数约为-0.3 MPa/K,热涨落在形成绕过位错构型中起到关键作用。图4(b)表明,随铜原子层数(析出相长度)从6增至14层,临界应力仅小幅线性增加(约2.1 MPa/层),说明析出相高度H比长度L对激活壁垒的控制更为关键,两种机制中攀移的能量壁垒均高于交叉滑移。
.png)
图4 分子动力学模拟得到的临界应力与(a)温度及(b)析出相铜原子层数的依赖关系(初始滑移面位于零位置)
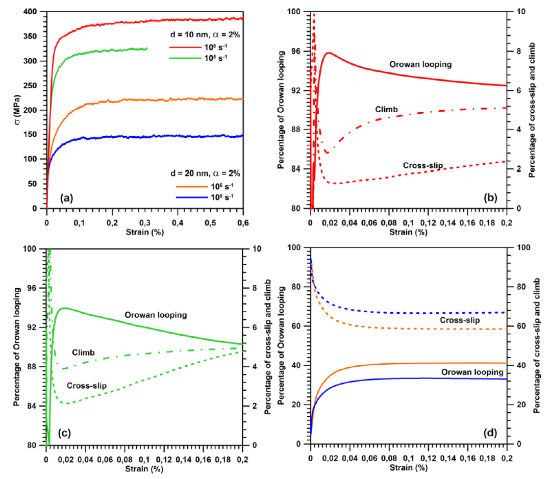
(5)基于分子动力学结果提出了热激活概率性攀移和交叉滑移微机械模型,采用累积概率方法,并与已有的Orowan环形成和析出相切割模型集成至二维位错动力学框架。结果表明,小析出相(10 nm)中Orowan机制占主导,大析出相(20 nm)中交叉滑移比例急剧增加(图5)。
.png)
图5 2D DDD分析结果:(a)不同析出相尺寸和应变率下的应力-应变曲线;(b-d)不同条件下各机制百分比随应变的演化
致谢
本研究由俄罗斯科学基金会资助(项目编号 24-11-20031)。本文第一作者和通讯作者:Vasiliy S. Krasnikov(Chelyabinsk State University)。
本期小编 唐 瑞(整理)
董乃健 (校对)
程 航 (审核)
董乃健 (发布)
|