|
Bartošák M, Mara V, Šulák I. Effects of temperature and strain rate on isothermal low-cycle fatigue behaviour of Inconel 718 superalloy: Damage mechanisms, microstructure evolution, and life prediction[J]. International Journal of Fatigue, 2025, 198: 109005.
Bartošák, Michal, Vladimir Mara, and Ivo Šulák. "Effects of temperature and strain rate on isothermal low-cycle fatigue behaviour of Inconel 718 superalloy: Damage mechanisms, microstructure evolution, and life prediction." International Journal of Fatigue 198 (2025): 109005. (): .
Bartošák, M., Mara, V., & Šulák, I. (2025). Effects of temperature and strain rate on isothermal low-cycle fatigue behaviour of Inconel 718 superalloy: Damage mechanisms, microstructure evolution, and life prediction. International Journal of Fatigue, 198, 109005., .
背景简介
镍基高温合金Inconel 718 (IN718)因其优异的抗氧化和抗蠕变性能被广泛应用于高温环境,通常工作温度低于650℃。然而,火箭发动机和现代燃气轮机涡轮盘等部件的工作温度可能超过700℃——在诸如启停阶段的变工况条件下,这种环境会诱发低周疲劳,从而因循环非弹性应变导致使用寿命降低。IN718通常采用沉淀强化状态使用,其强度主要来源于面心立方(FCC)基体中细密分布的共格析出相,包括γ' Ni3(Al,Ti)) 和亚稳态的γ″ (Ni3Nb(Al,Ti)),其中主要强化作用归因于γ″相。该合金显微组织中还包含碳化物和半共格δ相(其化学成分与γ"相相同)。在650℃以上,亚稳的γ"相会转变为稳定但半共格的δ相,导致强化效应减弱,这一过程会因施加的应力而加速。因此,深入理解循环变形行为、损伤机制及显微组织稳定性,对于确保关键高温部件的可靠性、安全性和长期运行至关重要。
成果介绍
(1)如图1所示,在所有实验条件下均观察到循环软化现象,且在更高温度下更为显著。当温度达到730℃且应变速率较低时,由于δ相析出消耗了γ"强化相,产生了额外的软化效应。IN718在650℃及以下温度表现为率无关特性,而在730℃时则表现出轻微的应变速率敏感性。在650℃和730℃条件下,疲劳寿命随着温度升高、应变幅值增大以及应变速率降低而缩短。
.png)
图1 在不同试验温度下的低周疲劳加载过程中,最小与最大应力随循环周次的演变规律如图(a)所示;其中图(b)展示了300℃条件下的低周疲劳载荷响应;图(c)和(d)分别呈现了650℃时采用1×10-4/s与1×10-2/s机械应变速率加载的对比结果;图(e)和(f)则对应730℃条件下采用1×10-4/s与1×10-2/s机械应变速率的疲劳载荷演化特征
(2)如图2所示,断裂模式从300℃下的穿晶断裂转变为650℃和730℃下的沿晶断裂,且在650℃下,较高应变速率会导致穿晶裂纹比例增加。在所有实验条件下,断裂的MC碳化物均作为裂纹萌生点,并在更高温度下呈现更显著的氧化现象。在300℃时,孪晶界是额外的裂纹萌生位置。沿晶开裂为氧化协助型裂纹前沿区域分布着铬/锰/铌氧化物,中段区域存在钛基氧化物,远端则富集铝基氧化物。脆性铝基氧化物的形成与微裂纹的产生直接相关。
.png)
图 2 SEM断口形貌:(a1-a3) 300℃下且εa=4.5×10-3且ε=1×10-3/s;(b1-b3) 650℃下且εa=5×10-3且ε=1×10-4/s;(c1-c3) 650℃下且εa=5×10-3且ε=1×10-2/s;(d1-d3) 730℃下且εa=4×10-3且ε=1×10-4/s;(e1-e3) 730℃下且εa=4×10-3且ε=1×10-2/s
(3)寿命预测模型
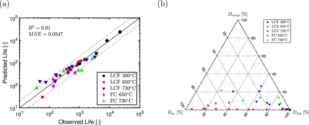
提出了一种多机制损伤模型,用以表征蠕变、疲劳及氧化损伤的耦合作用。该模型中,蠕变损伤的影响较弱;氧化损伤项则考虑了环境效应,包括应力学协助晶界氧化现象,以此解释在650℃和730℃下低应变速率导致的额外寿命衰减。疲劳损伤被处理为温度相关函数,并通过引入平均应力修正项来表征疲劳-蠕变试验中平均应力的演化过程。所建模型在预测与实测疲劳寿命之间呈现出良好的一致性(图3)。
1)疲劳损伤
.png)
2)蠕变损伤
.png)
其中,tc表示加载循环的持续时间,tR是应力作用下破裂时间,T为温度。
3)氧化损伤
.png)
其中,R是通用气体常数(8.314J/mol·K),D0是扩散系数,Q是扩散活化能。
此时,总损伤表示为:
.png)
通过损伤获得的疲劳寿命为:
.png)
.png)
图3 (a)IN718高温合金在等温LCF和疲劳蠕变(FC)载荷下的预测与观察失效周期数;(b)三元图显示疲劳、氧化和蠕变对总损伤的相对贡献
致谢
这项工作得到了捷克科学基金会(项目编号:21-06645S)的资助,以及所使用的由欧盟操作计划“研究、发展与教育”下的欧洲结构与投资基金和捷克技术大学机械工程学院先进航空航天技术中心(项目编号:CZ.02.1.01/0.0/0.0/16_019/0000826)所购置的基础设施。本文第一作者和通讯作者:Michal Bartošák(Czech Technical University)。
本期小编 本期小编:华飞龙(整理)
吴林森 (校对)
郭子键 (审核)
董乃健 (发布)
|